无法使用此链接。检查链接是否以 "http://" 或 "https://" 开头,然后重试。
无法处理此搜索。请尝试其他图像或关键字。
试用视觉搜索
使用图像搜索、识别对象和文本、翻译或解决问题
将一个或多个图像拖到此处,
上传图像
或
打开相机
你提供的照片可能用于改善必应图片处理服务。
隐私政策
|
使用条款
将图像放置到任意位置以开始搜索
要使用可视化搜索,请在浏览器中启用相机
English
全部
搜索
图片
灵感
创建
集合
视频
地图
资讯
更多
购物
航班
旅游
笔记本
自动播放所有 GIF
在这里更改自动播放及其他图像设置
自动播放所有 GIF
拨动开关以打开
自动播放 GIF
图片尺寸
全部
小
中
大
特大
至少... *
自定义宽度
x
自定义高度
像素
请为宽度和高度输入一个数字
颜色
全部
仅限颜色
黑白
类型
全部
照片
剪贴画
素描
动画 GIF
透明
版式
全部
方形
横版
高
人物
全部
仅脸部
半身像
日期
全部
过去 24 小时
过去一周
过去一个月
去年
授权
全部
所有创作共用
公共领域
免费分享和使用
在商业上免费分享和使用
免费修改、分享和使用
在商业上免费修改、分享和使用
详细了解
清除筛选条件
安全搜索:
中等
严格
中等(默认)
关闭
筛选器
1150×724
MathWorld
Perpendicular Vector -- from Wolfram MathWorld
768×435
mathsathome.com
How to Find a Vector Perpendicular to a Plane – mathsathome.com
768×435
mathsathome.com
How to Find a Vector Perpendicular to a Plane – mathsathome.com
768×435
mathsathome.com
How to Find a Vector Perpendicular to a Plane – mathsathome.com
945×945
vectorified.com
Perpendicular Vector at Vectorified.com | Collection of …
1380×810
vectorified.com
Perpendicular Vector at Vectorified.com | Collection of Perpendicular Vector free fo…
3200×2400
vectorified.com
Perpendicular Vector at Vectorified.com | Collection of …
1220×746
readwithus.org.uk
How To Find Perpendicular Vector? | Read With Us
1024×714
chegg.com
Solved EIdentifying Perpendicular Vectors Identify …
1280×720
hopyoo.weebly.com
Compute perpendicular vector for a given vector 2d - Hopyoo
593×118
chegg.com
Solved Problem 3 (a) Find a vector C that is perpendicular | Chegg.com
616×437
chegg.com
Solved Find a vector C that is perpendicular to both A and B | Ch…
GIF
480×640
numerade.com
SOLVED:(a) Find a 3-dimensiona…
843×395
chegg.com
Solved Find a vector that is perpendicular to both vectors: | Chegg.com
1880×794
chegg.com
Solved 1. Find a vector that is perpendicular to the given | Chegg.com
959×760
math.stackexchange.com
linear algebra - Finding perpendicular vector on a pla…
700×244
chegg.com
Solved 1a. Give a vector that is perpendicular to the vector | Chegg.com
640×640
teachoo.com
Misc 12 - Find vector d, perpendicular to a, b …
640×640
teachoo.com
Misc 12 - Find vector d, perpendicular to a, b …
640×640
teachoo.com
Misc 12 - Find vector d, perpendicular to a, b …
413×164
onlinemath4all.com
How to Find Unit Vector Perpendicular to 2 Vectors
1920×460
chegg.com
Solved Find a vector perpendicular to the vector C= 2,−1,1 | Chegg.com
700×480
chegg.com
Solved Find a vector which is perpendicular to both vector u | Ch…
816×684
Stack Exchange
Calculate perpendicular vector that sits on plane - M…
700×302
chegg.com
Solved (d) Find a vector perpendicular to v. | Chegg.com
1257×1803
askfilo.com
find ∣a+b+c∣.46. Find a unit vec…
1024×409
askfilo.com
Find a unit vector perpendicular. to the plane of two vectors a and b whe..
593×129
chegg.com
Solved 7. Find a vector perpendicular to the plane | Chegg.com
1172×593
askfilo.com
1. Find the unit vector perpendicular to the plane ABC, where the positio..
1691×877
chegg.com
Solved Find a vector perpendicular to both vec(a)=[1,2,3] | Chegg.com
700×312
chegg.com
Solved 26. Find a vector perpendicular to both a=[1,2,3] and | Chegg.com
2976×732
chegg.com
Solved Find a vector perpendicular to both vec(a)=[1,2,3] | Chegg.com
1024×1853
askfilo.com
Find a unit vector perpen…
904×128
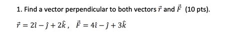
chegg.com
Solved 1. Find a vector perpendicular to both vectors r and | Chegg.com
7200×1384
askfilo.com
(iii) Find a unit vector perpendicular to the plane of a and b where a=i^..
某些结果已被隐藏,因为你可能无法访问这些结果。
显示无法访问的结果
报告不当内容
请选择下列任一选项。
无关
低俗内容
成人
儿童性侵犯
反馈